一、瓦秒法
  瓦秒法是将电能表反映的功率弓线路中的实际功率比较,以定性判断电能计量装置接线是否正确。
  原理:
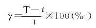
  首先按照被测电能表铭牌标示的脉冲数,计算出在恒定功率下输出N个脉冲所需要的时间,再记录被测电能表输出N个脉冲后所需要的时间,通过时间计算相对误差。当用固定脉冲数(N)测量时间的瓦秒法检定时,被检表的相对误差r(%)按下式计算:
  式中

  r—标准功率表或检定装置的已定系统误差.%;
  t—实测时间,即被检表在恒定功率下输出N个脉冲时,标准测时器测定的时间s
  T—算定时间,即假定被检表没有误差时,在恒定功率下输出N个脉冲所需要的时间s。
  算定时间按下式计算:
  

  式中
  N—选定的电能表转数或脉冲数;
  C—被测电能表铭牌上标注的脉冲常数imp/(KW.h)
  P—恒定功率(或被测电能表所带的实际负荷功率)W。
  计算出的相对误差如果超过了电能表准确度等级所允许的范围,则说明被测电能表计量失准。
  适用范围:负荷稳定的各类电能表。
  二、伏安相位表法
  1.将相位表的红表笔和黑表笔连线的另一端按颜色分别插人相位表上标有“U1”的两侧插孔内。
  2.将相位表电流卡钳连线的另一端插入相位表上标有"I2”的插孔内。此时应注意,使用相位表时I1和I2,是一组,I2和I1是一组。
  3.在使用相位表前应先对其进行“校准”。具体方法是:将相位表h的旋钮开关旋至“360狡”挡。此时,相位表上的显示窗口应显示“360”,若显示值不是“360”时,可调节“W”校准螺钉,直至其显示值为“360”为止。
  4.测量电压:选择电压挡“U”将红、黑表笔与测量点接触?窗口显示电压值。
  5.测量电流:选择电流挡“I”,用电流卡钳卡住需测电流的导线,窗口显示电流值。
  6.测量电压与电流之间的相位差角:选择相位角“j”挡,将电流卡钳卡住电流进线(应注意电流卡钳的极性一定要正确)再将红表笔和黑表笔分别接触到需测电压的U、V两个端子上。窗口显示值是Uuv与I之间的夹角。



 
                                             
                                             
                                             
                                            


 QQ交流群
QQ交流群

