拾音器灵敏度是反映拾音器声电转换能力的一个指标,其定义是在单位声压作用下的输出电压或电功率。灵敏度的表示方法很多,我们采用的方法以dB表示,且定义为0dB=1V/Pa@1KHz,即1KHz频率、声压强度1Pa作用下输出1V(rms)电压,灵敏度为0dB。这是国家标准规定的表示方法,为国内外麦克风话筒生产厂家普遍采用。按-40dB、-30dB、-10dB、0dB、+10dB的顺序,灵敏度逐渐增高。
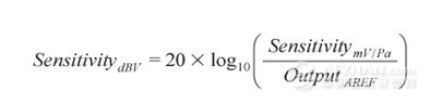
拾音器的灵敏度很简单,不难理解。该指标一般表示为对数单位dBV(相对于1V的分贝数),代表着给定SPL下输出信号的伏特数。对于拾音器,灵敏度(表示为线性单位mV/Pa)可以用对数表示为分贝:

其中OutputAREF为1000mV/Pa(1V/Pa)参考输出比。
随着拾音器与声源之间距离的增加,声音会被衰减。拾音器与声源之间的距离会对声压级(SPL)产生影响。与声源的距离每增加一倍,声学信号电平将下降6dB(一半)。
艾力特音频公司在拾音器开发中,不会在追求高灵敏度的同时,忽略了拾音器的保真度。因为灵敏度过高,输出信号幅度过高容易产生失真,声音信号顶部及底部被削掉,声音产生畸变。艾力特音频拾音器,采用ALC、AGC等技术,使得输出电平不会过载而导致失真,又能保证拾音器有较高的灵敏度,从而使得客户有较好的体验与使用。






QQ交流群

