越来越热门的直流无刷电机,其受欢迎并非只是实实在在的直流无刷电机本体实物的使用,更加值得关注的是与直流无刷电机相关的技术的应用,例如直流无刷电机的正弦驱动技术。那么,什么又是直流无刷电机的正弦驱动技术呢?有什么作用呢?我们不防加深一下这方面的知识点。
直流无刷电机的正弦驱动技术即通过对无刷电机绕组施加一定的电压,使无刷电机绕组中产生正弦电流,通过控制正弦电流的幅值及相位达到控制电机转矩的目的。与传统的方波控制相比,直流无刷电机的相电流为正弦,且连续变化,无换相电流突变,因此电机运行噪声低。
根据控制的复杂程度,直流无刷电机的正弦驱动技术可分为:简易正弦波控制与复杂正弦波控制。
简易正弦波控制即通过控制电机正弦相电压的幅值以及相位达到控制电机电流的目的。通常通过在电机端线施加一定形式的电压来使绕组两端产生正弦相电压。常见的生成方式为:正弦PWM以及空间矢量PWM。由于正弦PWM原理简单且便于实现,因此简易正弦波控制中通常采用其作为PWM生成方式。图1为BLDC控制结构图,其中Ux、Uy、Uz为桥臂电压,Ua、Ub、Uc为电机绕组的相电压,以下对于不同种类的PWM调制方式的介绍将基于此结构图进行。

图一:直流无刷电机控制框图
(1)三相正弦调制PWM
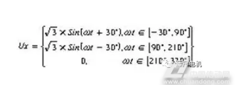
三相SPWM为最常见的正弦PWM生成方式,即对电机三个端线施加相位相差120度的正弦电压信号,由于中性点为0,因此电机相电压也为正弦,且相位与施加的正弦电压相同。如图二所示。三相调制SPWM端线电压

(2)开关损耗最小正弦PWM
与常见的SPWM不同,采用开关损耗最小正弦PWM时,施加在电机端线上电压Ua、Ub、Uc并非正弦波电压,此时电机中心点电压并非为0,但是电机相电压仍然为正弦。因此此类控制方式为线电压控制。见图三:







QQ交流群

