摘要:针对目前起发电机系统的发展趋势,本文提出了一种基于永磁同步起发电机系统的控制策略,可以使系统运行在更高的转速区域。在整个起发过程中,该控制策略均采用电流环作为内环,分别采用速度环与母线电压环作为外环。针对进一步拓宽的转速变化范围,本文重点阐述了一种简化的解析弱磁控制方法,并验证了在该弱磁控制方法下母线电压环的可行性。最后仿真结果表明在整个起发过程中,该控制策略都能保证系统运行状态达到预期效果。
1引言
近年来,在航空、高速列车、电动汽车、船舶等领域,起发电机得到了越来越广泛的应用,并逐渐成为发电系统的核心部分。起发电机不仅在电网中承担了电源供给的主要角色,另外借助外接电源还能发挥起动原动机的作用。结合上述两大功能,起发电机将进一步提升其发电系统在重量以及体积上的竞争力。本文主要探究一种基于永磁同步起发电机系统的控制策略,并应对系统的发展需求拓宽其发电阶段时的转速变化范围。
一般而言,当起发电机运行至高速时,起发电机的输出电压会相应升高,使得直流母线端的输出电压不受控制,因此需要采用弱磁控制来调节起发电机侧的输出电压。传统的弱磁控制方法主要包括解析法、电压反馈法、超前角法与开关时间反馈法。后三种方法在d轴电流参考值生成的过程中均采用了PI调节器,而在拓宽后的转速范围内,PI调节器的参数设计将变得尤为困难,另外本文采用表贴式永磁同步电机作为起发电机,解析法中所采用的解析表达式将得到大大简化,因此对于本文的研究,采用解析法进行弱磁控制更为合适。
当起发电机运行至高速时,将进入发电阶段。根据系统结构的不同,此时的控制策略可以采用直流母线电流或电压作为外环控制变量。前者通常使用在系统与其他电源并联运行的情况。而本文只考虑系统独立运行的情况,由于后者具有更好的电压输出特性,因此本文采用母线电压作为发电阶段时的外环控制变量。下面本文将重点验证在拓宽的转速范围下,使用解析弱磁控制方法时,母线电压闭环的可行性。
2起发电机系统结构
本文中的起发电机系统结构由一台永磁同步电机,一台电压源型换流器以及±270V直流母线组成,如图1所示。

起发电机的完整运行过程如图2所示。在起动阶段,起发电机由换流器驱动运行,用于起动原动机。初期起发电机会运行在恒转矩模式,从而尽快提高转速,当转速达到ωct/cp时,受限于输出电压,起发电机将会转为恒功率模式运行。在发电阶段,起发电机转而由原动机驱动运行,并通过直流母线为负载提供电能。在此过程中,虽然输出功率保持不变,但是转速会在ωnlg到ωmax的范围内变化。
3控制策略研究
在dq轴转子同步旋转坐标系下,本节提出了一套应用于整个起发过程的控制策略。由于本文目的在于拓宽电机转速的变化范围,因此本节将会着重阐述发电阶段的部分。
3.1永磁同步电机与换流器的数学模型
上一节提到永磁同步电机与换流器是起发电机系统最基本的组成部分,因此控制策略必须建立在两者的数学模型上。永磁同步电机的电路方程如下:

式中:Vd,Vq,id,iq,Ld,Lq分别为d、q轴电压、电流、定子电感,对于表贴式永磁同步电机,Ld=Lq,记为LS;RS,ωe,Ψf,J,Ω,RΩ,TL,Te,P,idc,Vdc,iL分别为定子电阻、转子电角速度、等效永磁磁链、转动惯量、机械转速、阻尼系数、负载转矩、电磁转矩、极对数、换流器直流端输出电流、母线电压、负载电流。
3.2起动阶段
起动阶段的主要目标是驱动原动机起动,因此起动阶段的控制策略与永磁同步电机在电动机模式下的传统控制相类似。如图3所示,将双刀双掷开关接至S端即为起动阶段的控制框图。
由式(3)、(4)可知,外环应采用转速环得到q轴电流参考值。对于表贴式永磁同步电机而言,d轴电流参考值一般设置为零以达到最大转矩电流比。另外,d、q轴电流内环与空间矢量脉宽调制均沿用传统的设计方法[9]。
3.3弱磁控制方法设计
对于表贴式永磁同步电机而言,磁场是由贴于转子表面的永磁体产生,由于旋转坐标系设置的特殊性,d轴电流所产生的磁链与永磁体产生的等效磁链位于同一直线上,因此可以通过调节d轴电流从而间接达到弱磁的效果。
当电机进入稳态后,式(1)、(2)将得到简化,从而定子电压矢量的幅值为:



其中由于运行转速较高,忽略了电阻上的压降。将式(7)中的ν替代为νlim,可以得到限制电机运行条件的电压限制圆:

其中在采用空间矢量脉宽调制时,
。另外定子电流矢量的幅值也受限于换流器与电机的最大允许电流νlim。

结合电压极限圆与电流极限圆,电机的运行范围只能位于如图4所示的阴影区域中。
对于表贴式永磁同步电机而言,输出功率、转速、q轴电流三者之间的关系如下:

式中:P*为输出功率参考值;n为电机转速,单位为rpm。
因此当输出恒定的参考功率时,电机的运行范围将进一步被缩小,只包含了当前转速下q轴电流所对应的水平线在阴影区域中的部分。随着电机转速的升高,当电机运行范围与q轴不再具有交点时,id=0,控制策略将不再适用,换言之,此时需要将d轴电流设为负值以削弱永磁体产生的磁链。跟据最大转矩电流比的目标,电机的电流矢量应当正好落在q轴电流所对应的水平线与电压极限圆的右交点上,可以得出:

3.4发电阶段
本文主要考虑电阻负载的情形,可以通过式(5)、(6)得到母线电压的转递函数为:


式中:RL为负载电阻;md、mq为换流器的d、q轴电压调制系数,满足:

当设计满足电流内环远快于电压外环时,在整个外环的时间常数内,调制系数将迅速响应并保持恒定,记为Md与Mq,d、q轴电流的实际值也会迅速相应并与参考值保持一致。
在发电阶段初期,采用id=0控制策略,可以得到q轴电流到母线电压的传递函数如下:

当采用弱磁控制时,将d轴电流参考值表达式整理为式(16),并代入式(13),可以得到q轴电流到母线电压的传递函数如下:


式中:iq_comp为q轴电流前馈补偿值;k由式(10)推导得到,由输出功率参考值确定为常数,满足:

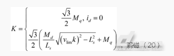
因此,母线电压环的控制结构框图如图5所示,其中Tf为采样反馈单元的滤波器时间常数,G(s)为q轴电流到母线电压的传递函数,K为

R(s)为控制器的传递函数。本文采用一个PI调节器作为控制器,可以将母线电压环修正为I型系统,从而保证系统的动态性能与稳定性。

母线电压环的开环传递函数如下:

发电阶段电流内环的设计与起动阶段完全一致。电流内环的带宽设计为电压外环的10倍以满足内环远快于外环的假设。如图3所示,将双刀双掷开关接至G端即可得到发电阶段的控制框图。
4仿真结果与分析
根据图3所示的系统框图,在MATLAB中搭建一套起发电机系统仿真模型。系统包括一台表贴式永磁同步电机,一台三相全桥两电平IGBT换流器,电机参数如表1所示。发电阶段母线电压维持540V恒定,母线接入负载250kW。

起动阶段电机转速范围在0~12000rpm之间,其仿真波形如图6(a)~(c)所示。起发电机初期保持200Nm恒转矩运行,当电机转速达到7000rpm时,电机进入恒功率模式,输出功率保持147kW恒定。模拟原动机的负载转矩如图6(b)所示。
起动阶段与发电阶段之间的切换点设置在0.5s,发电阶段的仿真波形如图6(b)~(d)所示。在发电阶段中,原动机输出的转矩远大于起发电机的电磁转矩,使得电磁转矩对原动机转速的影响可以忽略,因此仿真模型中起发电机的机械输入由负载转矩改为转速,转速在12000~24000rpm之间变化,如图6(a)所示。由式(8)可知,当转速超过17800rpm时,开始采用弱磁控制,仿真结果表明弱磁控制能够保证系统继续正常运行。
如图6(e)、(f)可知,内环保证了d、q轴电流迅速并准确地跟随参考值。如图6(a)、(d)所示,外环保证了电机转速与母线电压的动态性能。

5结论
本文提出了一种基于永磁同步起发电机系统的控制策略。该策略通过一种解析弱磁控制方法来应对电机运行转速不断提高的发展趋势。基于该弱磁控制方法,母线电压外环设计的可行性与稳定性在理论上得到了验证。最后,通过一套250kW起发电机系统的仿真实验验证了控制策略的有效性,最高转速能够达到24000rpm。由于该控制策略具有简单且适应性广的特点,未来可以应用于起发电机系统硬件在环仿真平台,用于电机参数设计。由于其适应的转速范围大,因此即使在测试极为苛刻的电机参数时,也能保证仿真平台正常运行。






QQ交流群

