方法参考:
本实验参照标准方法:GB13197-91,GB/T5009.49-2003,GB/T 5750.10-2006。
方法原理:在过量铵盐存在下,甲醛与乙酰丙酮生成黄色络合物,于 415nm 波长处进行分光光度测定。
仪器试剂:SP-752PC紫外可见分光光度计(上海光谱仪器有限公司),本实验所用试剂除另有说明外,均为分析纯试剂;所用水为实验室自制的超纯水。硫酸(H2SO4):ρ=1.84g/mL,硫酸溶液:C(1/2 H2SO4)=1mol/L。硫酸溶液:C(1/2H2SO4)=6mol/L。氢氧化钠液:C(NaOH)=1mol/L。碘溶液:C(1/2I2)≈0.05 mol/L。
先称取 5g 碘化钾于小烧杯中,用少量水溶解,再称取1.5875g 碘粒于碘化钾溶液中,用玻璃棒搅拌使充分溶解,然后转入250ml 容量瓶中,用水稀释至刻度,摇匀,避光保存。
乙酰丙酮溶液:称取25g乙酸铵于小烧杯中,加入0.4ml 乙酰丙酮和3ml 乙酸,再加入用少量水溶解后转入100ml 容量瓶中,用水稀释至刻度,摇匀。
重铬酸钾标准溶液:C(1/6K2Cr2O7)=0.0500mol/L。准确称取0.2452g 已于110℃干燥2h、并在干燥器中放置冷却后的优级纯重铬酸钾于100ml 容量瓶中,用适量水溶解后定容至刻度,摇匀。
硫代硫酸钠标准滴定溶液:C(Na2S2O3·5H2O)≈0.05mol/L。取800ml 纯水于1L大烧杯中,煮沸后冷却至室温备用。称取6.25g硫代硫酸钠于小烧杯中,用适量煮沸并放冷的水溶解后转入500ml 容量瓶中,并稀释至刻度,摇匀。加入0.2g氢氧化钠,避光保存。使用前用重铬酸钾标准溶液标定,其方法如下:
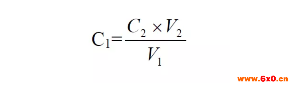
于250ml碘量瓶内,加入1g碘化钾及50ml水,加入200ml重铬酸钾标准溶液(3.2.7),5ml硫酸溶液(3.2.3),混匀,于暗处放置5min。用硫代硫酸钠溶液滴定,待滴定至溶液呈淡黄色时,加入1ml淀粉指示(3.2.11),继续滴定至蓝色刚好褪去,记下用量(V1)。硫代硫酸钠标准滴定浓度,由式(1)计算:
式中,
C1——硫代硫酸钠标准滴定溶液浓度,mol/L;
C2——重铬酸钾标准溶液浓度,mol/L;
V1——滴定时消耗硫代硫酸钠溶液体积,ml;
V2——取用重铬酸钾标准溶液体积,ml。
甲醛标准贮备溶液的配制与标定:吸取36%~38%甲醛溶液0.7ml于250ml 容量瓶中,用水稀释至刻度,摇匀。此标准贮备溶液每毫升约含1mg甲醛。将配制好的溶液置冰箱4℃中可保存半年。吸取20.0ml甲醛标准贮备液于250ml碘量瓶中,加入50.0ml碘溶液(3.2.5),15ml氢氧化钠溶液(3.2.4),混匀,放置15min。加入20ml硫酸溶液(3.2.2),混匀,再放置15min。用硫代硫酸钠溶液(3.2.8)滴定至溶液呈淡黄色,加1ml淀粉指示剂(3.2.11),继续滴定至蓝色褪去,记下用量(V)。同时取20.0ml水代替甲醛贮备液进行空白试验,记下硫代硫酸钠溶液用量(V0)。甲醛标准贮备液的浓度,由式(2)计算:
式中,
C1——硫代硫酸钠标准滴定溶液浓度,mol/L;
C2——重铬酸钾标准溶液浓度,mol/L;
V1——滴定时消耗硫代硫酸钠溶液体积,ml;
V2——取用重铬酸钾标准溶液体积,ml。
甲醛标准贮备溶液的配制与标定:吸取36%~38%甲醛溶液0.7ml于250ml 容量瓶中,用水稀释至刻度,摇匀。此标准贮备溶液每毫升约含1mg甲醛。将配制好的溶液置冰箱4℃中可保存半年。吸取20.0ml甲醛标准贮备液于250ml碘量瓶中,加入50.0ml碘溶液(3.2.5),15ml氢氧化钠溶液(3.2.4),混匀,放置15min。加入20ml硫酸溶液(3.2.2),混匀,再放置15min。用硫代硫酸钠溶液(3.2.8)滴定至溶液呈淡黄色,加1ml淀粉指示剂(3.2.11),继续滴定至蓝色褪去,记下用量(V)。同时取20.0ml水代替甲醛贮备液进行空白试验,记下硫代硫酸钠溶液用量(V0)。甲醛标准贮备液的浓度,由式(2)计算:
式中,
C——甲醛标准贮备液的浓度,mol/L;
C1——硫代硫酸钠溶液浓度,mol/L;
V——滴定甲醛贮备液时消耗硫代硫酸钠溶液体积,ml;
V0——空白试验消耗硫代硫酸钠溶液体积,ml;
15——甲醛(1/2HCHO)的摩尔质量。
甲醛标准使用溶液:取甲醛标准贮备液稀释成每毫升含有10.0μg 甲醛的使用溶液。使用时当天配制。
淀粉指示剂(5g/L):称取0.25g可溶性淀粉于50ml容量瓶中,定容至刻度,摇匀,于沸水浴中充分溶解,冷却后备用。使用时当天配制。
分析步骤
标准曲线的绘制:取6支25ml具塞比色管,分别加入0.00、0.50、1.00、3.00、5.00、8.00ml甲醛标准使用溶液(3.2.10),加水至刻度,使甲醛浓度分别为0.0、0.2、0.4、1.2、2.0、3.2μg/ml。分别加入2.0ml乙酰丙酮溶液(3.2.6),摇匀,于沸水浴中加热10min,冷却。用10mm的比色皿,以浓度为零的溶液为参比,在415nm 波长处测定吸光度,以吸光度为纵坐标、甲醛浓度为横坐标绘制标准曲线。
样品测定:取10.00ml自来水样(徐汇区正常供用的自来水)于25ml比色管中,用水稀释至刻度,按照标准曲线相同的显色方法进行分光光度测定,同时以水代替自来水样做空白试验。
实验结果
标准曲线数据及图形如下:
自来水样测试与结果计算:
自来水中甲醛含量=
测试浓度×稀释倍数=[0.00046-(-0.01566)]×25/10=0.04μg/ml。
若对照方法最低检出限0.05μg/ml,则表明该地区自来水中甲醛浓度低于检出范围。











QQ交流群

